ГОСТ 25494-82 Породы горные. Метод определения удельного электрического сопротивления
ГОСТ 25494-82 Породы горные. Метод определения удельного электрического сопротивления
ГОСТ 25494-82
Группа А09
ГОСУДАРСТВЕННЫЙ СТАНДАРТ СОЮЗА ССР
ПОРОДЫ ГОРНЫЕ
Метод определения удельного электрического сопротивления
Rocks. Method for the determination of specific electric resistance
Срок действия с 01.01.84
до 01.01.89*
_______________________________
* Ограничение срока действия снято
постановлением Госстандарта СССР
от 14.11.91 N 1741 (ИУС N 2, 1992 год) -
Примечание “КОДЕКС”.
РАЗРАБОТАН Министерством высшего и среднего специального образования СССР
ИСПОЛНИТЕЛИ
Г.Я.Новик (руководитель темы), И.Ю.Буров, В.Н.Морозов, А.Г.Судиловский, В.Д.Христолюбов, Э.И.Пархоменко
ВНЕСЕН Министерством высшего и среднего специального образования СССР
Зам. министра Н.С.Егоров
УТВЕРЖДЕН И ВВЕДЕН В ДЕЙСТВИЕ Постановлением Государственного комитета СССР по стандартам от 4 ноября 1982 г. N 4149
Настоящий стандарт распространяется на твердые горные породы и устанавливает метод определения удельного электрического сопротивления постоянному току для оценки состояния массивов горных пород и элементов горных выработок, а также геофизических исследований.
Сущность метода заключается в определении величины электрического сопротивления образца горной породы постоянному току через 3 с после наведения в нем поля при двухэлектродной схеме измерений с охранным кольцом и расчета по этим данным удельного электрического сопротивления ρ для сухих, естественно-влажных и увлажненных образцов пород в диапазоне значений от 10-4 до 1012 Ом·м.
Метод имеет преимущества при скоростных массовых определениях удельного электрического сопротивления горных пород и обеспечивает достаточную для горной практики точность (до 40% от среднего значения).
1. ОБЩИЕ ПОЛОЖЕНИЯ
1.1. При проведении испытаний должны соблюдаться условия по ГОСТ 21153.0-75 со следующими дополнениями:
стандартными атмосферными условиями окружающей среды в момент измерений являются температура 15-25 °С и относительная влажность воздуха 45-75%;
время нахождения образца в этих условиях не должно превышать 5 мин.
2. МЕТОД ОТБОРА ПРОБ
2.1. Отбор проб и изготовление образцов - по ГОСТ 21153.0-75 со следующим дополнением: количество кернов или штуфов, отбираемых в пробу, может быть равно одному, если длина целого керна не менее 120 мм или размеры штуфа не менее 150х150х150 мм; при раздробленном керне длина одного куска по образующей должна быть не менее 60 мм, а суммарная длина керна в пробе - 180 мм.
2.2. Количество образцов, подлежащих испытанию по каждой пробе, должно определяться степенью неоднородности пород в соответствии с целями и задачами исследований, но должна быть не менее трех.
2.3. Принятые по методике размеры образцов обеспечивают представительность измерений при условии, что наибольший линейный размер наибольшего зерна любого минерала в образце не превышает 10 мм.
3. АППАРАТУРА И МАТЕРИАЛЫ
3.1. Для проведения испытания применяют:
омметр типа Е-6-13 по ГОСТ 22261-76 или типа Щ-34 и Р-385 по ГОСТ 13600-68;
устройство электродное, состоящее из измерительного, охранного и высоковольтного (потенциального) электродов (черт.1) и устанавливаемое на прижимном устройстве. Площадь измерительного электрода 3,14·10-4м2;
устройство прижимное, состоящее из станины, стоек и рычага с грузом (черт.2). Масса груза прижимного устройства должна обеспечивать давление высоковольтного электрода на образец (9,8±1) кПа;
штангенциркуль по ГОСТ 166-73
секундомер по ГОСТ 5072-72;
весы с погрешностью взвешивания не более 0,01 г;
шкаф сушильный вакуумный, обеспечивающий постоянную температуру (283±5) К в течение 24 ч;
эксикатор типа Э по ГОСТ 6371-73;
чашу-кристаллизатор;
воду дистиллированную;
бумагу фильтровальную.

а - высоковольтный электрод; б - измерительный и охранный электроды; 1 - металлический держатель,
2 - прокладка из мягкой резины: 3 - алюминиевая фольга; 4 - металлическое кольцо;
5 - фторопластовое кольцо; 6 - эбонитовая опора электрода охранного кольца
Черт.1

1 - вспомогательные опорные стойки; 2 - нижний электрод; 3 - направляющие; 4 - основная стойка;
5 - потенциальный электрод; 6 - груз; 7 - опорная стойка; 8 - станина; 9 - ключ, 10 - клеммы.
Черт.2
4. ПОДГОТОВКА К ИСПЫТАНИЮ
4.1. Образцы изготовляют в виде пластин размером не менее 40х40 мм или дисков диаметром не менее 40 мм, толщиной 20 мм. Максимальные размеры пластин или диаметр дисков должны позволять свободное размещение и перемещение образца в прижимном устройстве, а также взвешивание его с требуемой точностью.
4.2. Предназначенные к испытаниям образцы должны быть пришлифованы до снятия видимых рисок и тщательно очищены от загрязнений. Рабочие поверхности не должны иметь дефектов (трещин, вмятин, царапин, сколов и т.п.).
4.3. Неплоскостность торцевых (рабочих) поверхностей должна быть не более 0,05 мм.
4.4. Непараллельность торцевых поверхностей должна быть не более 0,5 мм при расстоянии между точками измерений 40 мм.
4.5. Измерение толщины образца и параллельности рабочих поверхностей производится штангенциркулем с погрешностью не более 0,1 мм не менее чем в четырех различных точках по периметру образца. Среднее арифметическое значение замеров заносят в журнал (см. рекомендуемое приложение 1).
4.6. Образцы, предназначенные для испытания, сушат до постоянной массы в сушильном шкафу при 105-110 °С и охлаждают в эксикаторе с сухим хлористым кальцием.
4.7. Если испытываются образцы в естественно-влажном или увлажненном состоянии, то обязательно указание влажности.
4.8. Для проведения измерений собирают установку в соответствии со схемой, изображенной на черт.3.

1 - переносные контакты измерительного прибора; 2 - ключ; 3 - контакты измерительного устройства;
4 - потенциальный электрод; 5 - образец; 6 - измерительный электрод; 7 - измерительный прибор
Черт.3
4.9. Измерительный прибор подготавливают и проверяют согласно инструкции по эксплуатации.
5. ПРОВЕДЕНИЕ ИСПЫТАНИЯ
5.1. Груз с высоковольтным электродом должен находиться на опорной стойке прижимного устройства.
5.2. Подготовленный испытуемый образец устанавливают на нижнем измерительном электроде.
5.3. Охранное кольцо должно полностью прилегать к образцу.
5.4. Рычаг с грузом снимают с опорной стойки и высоковольтный электрод центрируют с измерительным.
5.5. Клеммы электродного устройства закорачивают ключом за 1 мин до начала испытаний для выравнивания потенциала на электродах.
5.6. В клеммы электродного устройства вставляют переносные контакты измерительного прибора.
5.7. Ключ выводят из контакта с клеммами электродного устройства, после чего на электроды подают измерительное напряжение.
5.8. Отсчет измерений производят через 3 с после подачи напряжения.
5.9. Напряжение отключают сразу после снятия замера.
5.10. Результат измерения заносят в журнал (см. рекомендуемое приложение 1).
5.11. Чтобы избежать случайной ошибки, действия, указанные в пп. 5.5-5.9, повторяют 2-8 раз с поворотом образца вокруг оси. Повторные измерения не должны отличаться друг от друга более чем на 5%.
5.12. Образец снимают с электродного устройства только при установке высоковольтного электрода на опорную стойку.
5.13. Притрагиваться руками и поворачивать образец в электродном устройстве при установленном на нем высоковольтном электроде и поданном на последний напряжении не допускается.
6. ОБРАБОТКА РЕЗУЛЬТАТОВ
6.1. Удельное сопротивление (ρ) в Ом·м вычисляют по формуле

где R - измеренное значение сопротивления, Ом;
S - площадь измерительного электрода, м2;
l - толщина образца, м.
Вычисления производят с точностью до целых единиц Ом·м.
6.2. Результаты измерения каждой партии образцов подвергают статистической обработке с целью выявления среднего значения параметра и доверительного интервала по формулам, приведенным в рекомендуемом приложении 2.
6.3. Результат записывают в виде ρ = ρ±Δρ с точностью до единиц Ом·м.
ПРИЛОЖЕНИЕ 1 (рекомендуемое). ЖУРНАЛ ОПРЕДЕЛЕНИЯ УДЕЛЬНОГО СОПРОТИВЛЕНИЯ ОБРАЗЦОВ ГОРНЫХ ПОРОД
ПРИЛОЖЕНИЕ 1
Рекомендуемое
|
Порода |
|
Температура воздуха, °С. |
||||||||||||
|
|
|
|
|
|
||||||||||
|
Тип измерительного прибора |
|
Степень насыщенности воздуха ,% |
||||||||||||
|
|
|
|
|
|||||||||||
|
N п/п |
Марки- |
Влаж- |
Площадь измери- |
Толщина образца l, мм |
Номер повторного измерения |
Измеренное сопротивле- |
Удельное сопротивле- |
Приме- |
||||||
|
1 |
8-1 |
2,1 |
3,14·10-5 |
0,019 |
|
|
|
|
||||||
|
|
|
|
|
|
2 |
|
|
|
||||||
|
|
|
|
|
|
3 |
|
|
|
||||||
|
|
|
|
|
|
ρ 8-1 |
|
|
|
||||||
|
2 |
8-6 |
1,2 |
3,14·10-5 |
0,020 |
|
|
|
|
||||||
|
|
|
|
|
|
2 |
|
|
|
||||||
|
|
|
|
|
|
3 |
|
|
|
||||||
|
|
|
|
|
|
ρ 8-6 |
|
|
|
||||||
|
3 |
8-12 |
1,9 |
3,14·10-5 |
0,021 |
|
|
|
|
||||||
|
|
|
|
|
|
2 |
|
|
|
||||||
|
|
|
|
|
|
3 |
|
|
|
||||||
|
|
|
|
|
|
ρ 8-12 |
|
|
|
||||||
|
ρ = ρ±Δρ |
при α=. . . |
и v=. . . |
||||||||||||
|
|
|
|
||||||||||||
|
"____"_____________19 г. |
|
Подпись ______________ |
||||||||||||
ПРИЛОЖЕНИЕ 2 (рекомендуемое). ОЦЕНКА ДОСТОВЕРНОСТИ РЕЗУЛЬТАТОВ ИСПЫТАНИЙ
ПРИЛОЖЕНИЕ 2
Рекомендуемое
1. Среднее арифметическое различных n значений параметров вычисляют по формуле

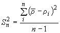
2. Выборочную дисперсию определяют по формуле

3. Среднеквадратическую ошибку единичного результата вычисляют по формуле

4. При наличии в ряду измеренных значений ρ значений ρк существенно отличающихся от ρ, производят проверку на возможность отбрасывания этих значений по формуле

5. При Vmax ≥ 1.71 значение ρк отбрасывается, после чего вычисления по пп.1-3 повторяют без учета ρк.
6. Коэффициент вариации v вычисляют по формуле
%.
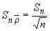
7. Ошибку среднего арифметического Snρ вычисляют по формуле

8. Доверительный интервал при доверительной вероятности α=0,8 вычисляют по формуле
Δρ=tna·Snρ
9. tnαпри n=4, при α=0,8 составляет 1,6, а при n=3-1,9.
10. Окончательное значение ρ параметра записывают в журнал в виде
|
ρ=ρ±Δρ |
α=, ... |
|||
|
|
v=, ... |
|||
Текст документа сверен по:
официальное издание
М.: Издательство стандартов, 1983

